Сегодня, 13 ноября
- 10:00-18:00 Москва2-я Международная выставка жилищно-коммунального хозяйства и строительного комплекса UtiliCon
- 10:00-18:00 МоскваВыставка «Мир Климата ОСЕНЬ»
- 10:00-18:00 Санкт-Петербург31-я Международная промышленная выставка «Металл-Экспо’2025»
- 10:00-18:00 НовосибирскIV Международный строительный форум «АРКТИКА И КРАЙНИЙ СЕВЕР»
- 10:00-18:00 Санкт-ПетербургXXIII практическая конференция «Качество строительства и деловой среды Санкт-Петербурга и Ленинградской области»
Ближайшие мероприятия
-
11 ноября - 14 ноября
-
11 ноября - 14 ноября
-
11 ноября - 14 ноябряСанкт-Петербург31-я Международная промышленная выставка «Металл-Экспо’2025»
-
12 ноября - 14 ноября
-
13 ноября / 10:00 - 18:00
-
20 ноября / 10:00 - 18:00
Проектирование кровельных конструкций с озеленением для тепловой защиты
М. А. Разаков, ведущий инженер-проектировщик систем отопления и вентиляции АО НПО «Энергомаш им. академика В. П. Глушко», старший преподаватель НИУ МЭИ, инженер ФГБУ НИИСФ РААСН
Ю. В. Кудрявцева, старший преподаватель Национального исследовательского Московского энергетического института
В работе рассмотрена методика расчета тепловых потерь кровельных ограждающих конструкций с озеленением, предположительно установленных на кровле здания общежития в городе Краснодаре. Приведены современные направления развития в области зеленого строительства в Российской Федерации и иных странах. Авторы провели анализ современных нормативных документов, где приведены данные и методики расчетов, связанные только с экологичными конструкциями. В работе рассмотрены тепловые потери через типовые кровельные конструкции с озеленением. Авторы актуализировали проектную методику расчета тепловых потерь в холодный период года применительно к кровельной конструкции с озеленением согласно нормативным требованиям Российской Федерации. Также приведена методика расчета теплового баланса с использованием экологичных конструкций для теплого периода года, которая также может быть актуальной и для промышленных зданий. Выполнено сравнение тепловых потерь типовых ограждающих кровельных конструкций с озеленением при различных исходных условиях.
Ключевые слова: тепловой баланс; тепловая защита зданий; зеленая архитектура; методика проектирования; ограждающие конструкции с озеленением.
Введение
Современные тенденции загрязнения природной среды требуют от человека уменьшения негативного влияния антропогенного воздействия на экологию. Единение с природой является одним из приоритетных направлений в развитии крупных городов многих стран мира. Развитие экологического строительства в наши дни становится одним из самых популярных методов в решении проблемы отрицательного воздействия жизнедеятельности человека на микроклимат городов и окружающую среду [1–4]. Задачами, решаемыми внедрением зеленого строительства, являются снижение энергопотребления и эмиссии вредных выбросов от производств, повышение комфорта и создание благоприятного климата в городской среде [5–8].
В работе Yang J., Rong H. и других авторов описан благоприятный эффект повышения экологичности в одном из районов г. Нью-Йорка на психоэмоциональное и физическое состояние человека [9]. Дополнительно в исследовании также проанализирована стоимость аренды жилья и офисов в данном экологичном районе города.
Зеленые ограждающие конструкции играют важную роль в решении задач экологического строительства [1, 2, 4]. В этой работе будут рассмотрены три основных вида кровельных ограждающих конструкций с озеленением [2]:
- сплошные кровельные конструкции с озеленением в виде основного покрытия (рис. 1);
- модульные кровельные конструкции с озеленением (рис. 2);
- сплошные встраиваемые кровельные конструкции с озеленением в виде дополнительных покрытий (рис. 3).

Рис. 1. Сплошная кровельная конструкция с озеленением в виде основного покрытия:
I — растительный покров; II — грунтовый покров; III — фильтрующая мембрана; IV — дренажная система с корневым и гидроизоляционным барьером; V — теплоизоляционный слой; VI — гидроизоляционный слой; VII — основной конструктивный элемент кровли
Рис. 2. Модульные кровельные конструкции с озеленением:
I — растительный покров; II — грунтовый покров; III — фильтрующая мембрана; IV — дренажная система с корневым барьером; V — гидроизоляционный и пароизоляционный слои; VI — теплоизоляционный слой; VII — основной конструктивный элемент кровли; VIII — модуль
Рис. 3. Сплошные встраиваемые кровельные конструкции с озеленением в виде дополнительных покрытий:
I — растительный покров; II — грунтовый покров; III — фильтрующая мембрана; IV — дренажная система с корневым барьером; V — гидроизоляционный и пароизоляционный слои; VI — теплоизоляционный слой; VII — основной конструктивный элемент кровли
Существует еще один вид кровельного озеленения, который редко включают в данный список типовых конструкций, — оранжереи. Несмотря на то, что аналогами оранжерей являются теплицы, расположенные на земле, данные конструкции применяют и в качестве дополнительных помещений на крыше сооружения. Они имеют свой собственный микроклимат, который поддерживается для сельскохозяйственных культур и насаждений различных видов [10–14].
Оранжереи на крышах имеют меньшие трансмиссионные тепловые потери через пол из-за тепловых поступлений от здания, но при этом добавляются дополнительные потери теплоты от инфильтрующегося воздуха и потери от ограждающих конструкций.
В работе Chang N. B., Rivera B. J., Wanielista M. P. представлен охлаждающий и энергосберегающий эффект от стандартных кровель с озеленением в штате Флорида (США). Также в работе проведено исследование оптимальной площади с озеленением для частного жилого дома [15].
Использование же системы кровельного озеленения для охлаждения здания известно с древних времен. В работе А. Г. Рымарова подробно описана система охлаждения дворца. На рис. 4 приведена принципиальная схема охлаждения данного сооружения [16].
Рис. 4. Система охлаждения здания (Висячие сады Семирамиды):
1 — окружающий воздух; 2 — система озеленения здания; 3 — внутренние помещения в здании дворца; 4 — объем вокруг здания; 5 — каналы с охлажденным и увлажненным воздухом
При расположении здания у водной экосистемы в умеренном климатическом поясе возможно возникновение дополнительного эффекта — повышение тепловых потерь через конструкцию. Для условий Гонконга данный эффект был определен в работе Jim C. Y. и Tsang S. W. Несмотря на данный факт, возможен и случай, при котором не будет наблюдаться эффект снижения характеристик тепловой защиты для определенных типов здания и климатических условий [17].
Методы
Для моделирования и проектирования зданий и сооружений необходимо использование региональных норм проектирования и требований. Для Российской Федерации в первую очередь это следующие обязательные нормативно-технические документы: межгосударственные стандарты (ГОСТ), санитарные нормы (СН), санитарные правила и нормы (СанПиН), гигиенические нормативы (ГН) и своды правил (СП). Последние обычно составляются на основании всех вышеперечисленных обязательных нормативных документов. Тепловые явления, возникающие в здании и ограждающих конструкциях, также должны моделироваться с опорой на действующую нормативно-техническую документацию т. к. они являются неотъемлемой частью жизненного цикла сооружения [18–20]. Современные мировые и отечественные «зеленые» стандарты, к сожалению, могут быть использованы только для оценки экологичности здания, но не для проектирования тепловой защиты сооружения [21–24]. При проектировании тепловых потерь ограждающих конструкций с озеленением необходимо использование СП 50.13330.2012 «Тепловая защита зданий», СП 131.13330.2020 «Строительная климатология» и СП 230.1325800.2015 «Конструкции ограждающие зданий. Характеристики теплотехнических неоднородностей».
Необходимо отметить, что по рекомендациям из самого СП 230.1325800.2015 данные, которые указаны в нем, можно использовать и для научных исследований. Также необходимо уточнить, что для зданий с большим сроком эксплуатации для снижения риска возникновения аварийных ситуаций и неблагоприятного влияния возможных последствий процесса реконструкции, согласно новым нормативным требованиям, возможно применение более ранних версий данных нормативных документов [25].
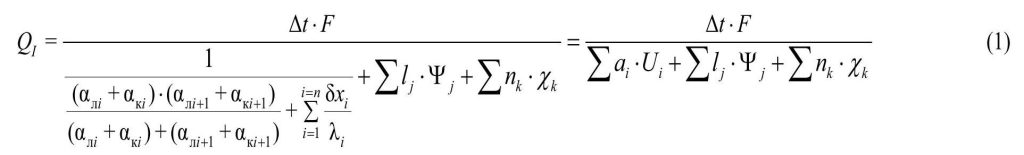
Для расчета трансмиссионных тепловых потерь через кровельные ограждающие конструкции необходимо использование стандартной формулы Ньютона-Рихмана с учетом типовых точечных и линейных тепловых включений для кровельных ограждений с озеленением. В выражении (1) приведена данная обобщенная формула согласно СП 50.13330.2012.
где: Δt — разность средней температуры воздуха внутри здания и температуры наружного воздуха, oC;
F — площадь кровельной поверхности, м2;
αкi — конвективная составляющая теплоотдачи i и i+1 поверхности, Вт/м2 оС;
αлi — лучистая составляющая теплоотдачи i и i+1 поверхности, Вт/м2 оС;
λi — коэффициент теплопроводности материала i слоя кровельной конструкции, Вт / м К;
δxi — толщина материала i слоя кровельной конструкции, м;
lj — протяженность линейной неоднородности j-го вида, приходящаяся на 1 м2 фрагмента теплозащитной оболочки здания, или выделенной ограждающей конструкции, м/м2;
ψj — удельные потери теплоты через линейную неоднородность j-го вида, Вт/(м·°С);
nk — количество точечных неоднородностей k-го вида, приходящихся на 1 м2 фрагмента теплозащитной оболочки здания, или выделенной ограждающей конструкции, шт/м2;
χk — удельные потери теплоты через точечную неоднородность k-го вида, Вт/°С;
ai — площадь плоского элемента конструкции i-го вида, приходящаяся на 1 м2 фрагмента теплозащитной оболочки здания, или выделенной ограждающей конструкции, м2/м2.
Ui — коэффициент теплопередачи однородной i-ой части фрагмента теплозащитной оболочки здания, Вт/м2 оС.
На рис. 5 и 6 представлены внешний вид и термограмма одного из типовых тепловых включений, которое влияет на характеристики сопротивления теплопередачи кровельной ограждающей конструкции [26].
Рис. 5. Внешний вид типового теплового включения (трубопровод от инженерной системы)
Рис. 6. Термограмма типового теплового включения (трубопровод от инженерной системы)
Возможно также учитывать суммарные тепловые поступления от солнечной инсоляции, которые состоят из поступлений от прямой, рассеянной и отраженной составляющих (отраженной естественной и отраженной от ограждающих конструкций, близлежащих зданий и сооружений). В выражении (2) приведена данная модель с добавлением дополнительных членов, характеризующих кровельную систему с озеленением [27].
QП = Qпр — Qзат + Qр + Qот +- Qтмо
где: Qпр — тепловые поступления от прямой солнечной инсоляции, Вт;
Qзат — тепловые поступления от прямой солнечной инсоляции, не попадающие на поверхность перекрытия, вследствие затенения от элементов системы озеленения и конструктивных элементов здания, Вт (возможно принять равным в диапазоне 1–5% от тепловых поступлений прямой солнечной инсоляции);
Qр — тепловые поступления от рассеянной солнечной инсоляции, Вт;
Qот — тепловые поступления от отраженной солнечной инсоляции, Вт;
Qтмо — тепломассообменные процессы, возникающие между воздухом и влагой в грунте, Вт (в зимний период ее можно принять равной 0).
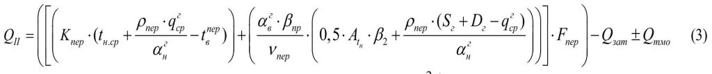
В работе Е. В. Коркиной приведена методика расчета последней составляющей тепловых поступлений от солнечной инсоляции [28]. Для проектного стационарного режима также возможно использование модели тепловых поступлений через горизонтальные покрытия, предложенной В. Н. Богословским, Б. А. Крупновым и В. И. Мошкиным [27]. Актуализированная модель для кровельных покрытий с озеленением представлена в выражении (3):
где: Kпер — коэффициент теплопередачи перекрытия, Вт / м2 oC;
ρпер — коэффициент поглощения солнечной радиации поверхностью перекрытия (можно принимать равным 0,9 или 1, т. к. почти вся солнечная радиация попадает на ограждающую конструкцию);
qгср — среднее суточное количество теплоты прямой и рассеянной солнечной радиации, поступающей на поверхность перекрытия, Вт/м2 [принимается по табл. 2.12 ч. 3 данных В. Н. Богословского, Б. А. Крупнова и В. И. Мошкина [27] или данным из рис. 7 и формуле (4)];
Atн — суточная амплитуда температуры наружного воздуха (принимается по приложению 11 СП 131.13330.2020 «Строительная климатология». При определении суммарного количества теплоты за сутки необходимо принимать максимальное значение, при определении суммарного количества теплоты за час необходимо принимать минимальное значение), оС;
β2 — коэффициент, учитывающий гармоническое изменение температуры наружного воздуха (принимается по табл. 2.9 ч. 3 данных В. Н. Богословского, Б. А. Крупнова и В. И. Мошкина при ε = 0 [27]);
βII — дополнительный коэффициент, учитывающий наличие в конструкции воздушной прослойки (βII = 1 при отсутствии прослойки и βII = 0,6 при наличии воздушной прослойки);
tперв — принятая температура внутреннего воздуха в помещении под перекрытием, оС (принимается по ГОСТ 30494-2011 «Здания жилые и общественные» или иным отраслевым нормативным документам);
νпер — значение затухания колебаний температуры наружного воздуха в конструкции перекрытия (принимается по данным В. Н. Богословского и Б. А. Крупнова из ч. I гл. 2.2 [27]);
Sг — количество прямой солнечной радиации в каждый час с учетом периода запаздывания температуры колебаний, Вт/м2 (принимается по табл. 2.10 данных В. Н. Богословского, Б. А. Крупнова и В. И. Мошкина [27] ч. 3 — примечание к обозначениям в таблице: прямая/рассеянная);
Dг — количество рассеянной солнечной радиации в каждый час с учетом периода запаздывания температуры колебаний, Вт/м2 (принимается по табл. 2.10 данных В. Н. Богословского, Б. А. Крупнова и В. И. Мошкина [27] ч. 3 — примечание к обозначениям в таблице: прямая/рассеянная);
ε — период запаздывания, ч;
Fпер — площадь перекрытия, м2;
αгн — суммарный наружный коэффициент теплоотдачи поверхности перекрытия, Вт/м2 оС [принимается по СП 50.13330.2012 «Тепловая защита зданий» или формуле (5)].
Рис. 7. Среднее суточное количество теплоты прямой и рассеянной солнечной радиации, поступающей на поверхность перекрытия, по данным В. Н. Богословского, Б. А. Крупнова и В. И. Мошкина
где: x — географические координаты расположения здания (широта).
При моделировании нестационарной теплопроводности необходимо использование переменного αн, изменение которого можно вычислить с помощью зависимости αн от средней скорости ветра (5):
где: V — скорость воздуха, м/с (при стационарном режиме принимается по СП 131.13330.2020 «Строительная климатология», при нестационарном режиме принимается по фактическим измеренным данным).
Итоговые тепловые потери через перекрытия с озеленением определяются по формуле (6):
QI — QII = Qтп
При расчете тепловых поступлений в темное время суток возможно принять, что QII = 0 и QI = Qтп.
На проектные тепловые потери здания через ограждающие конструкции влияет и принятая температура воздуха, которую необходимо обеспечить системе отопления. В сооружениях различного назначения будут наблюдать отличные друг от друга тепловые режимы. В работах Е. Г. Малявиной, Д. Г. Титкова и О. Д. Самарина приведены данные для сооружений гражданского и промышленного назначения [29–33].
Результаты и обсуждения
В качестве примера применения данной актуализированной методики расчета кровельных покрытий с озеленением рассмотрены четыре варианта перекрытий для здания общежития в городе Краснодаре: базовая конструкция без системы озеленения и три вида зеленой кровли, которые были описаны выше (рис. 1–3).
Кровля имеет площадь, равную 546 м2. При строительстве использовались железобетонные панели размером 1490 х 5980 мм согласно ГОСТ 28042-2013. Суммарная длина швов в местах стыков железобетонных панелей равна 318 метров. Тепловые потери через стыки между парапетом и покрытием ограждающей конструкции, согласно СП 230.1325800.2015, рекомендовано относить к тепловым потерям от вертикальных ограждающих конструкций (наружные стены здания). На кровельной конструкции установлены две вентиляционные шахты и два вентиляционных трубопровода системы канализации. В качестве креплений отдельных элементов конструкции (например, пароизоляции или текстильного слоя) использовались 2440 дюбелей со стальным сердечником. На крыше также имеются два люка с периметром 12 метров и четыре выхода с кабелями.
В качестве модульных элементов системы озеленения кровли использовались модули диаметром 0,5 метра [4]. Их суммарное количество — 714 шт. Суммарная площадь, занятая модулями, — 357 м2.
Температура наружного воздуха принята равной –15 оС согласно СП 131.13330.2020 «Строительная климатология». Температура внутреннего воздуха принята равной +24 оС согласно ГОСТ 30494-2011. Основные теплофизические данные материалов характерных элементов конструкций приведены в табл. 1–4. Базовая конструкция без системы озеленения приведена в табл. 1 и 5. Основные точечные и линейные тепловые включения для характерных конструкций приведены в таблицах 5–8.
Таблица 1. Основные теплофизические характеристики материалов стандартного кровельного покрытия без озеленения
| № слоя | Наименование слоя | Ссылка на принятые данные из СП 50.13330.2012 «Тепловая защита зданий» | Принятая толщина слоя, м
|
Плотность материала, кг/м3
|
Теплопроводность материала, Вт/м оС | Теплоемкость материала, кДж/кг оС |
| 1 | Железобетонная многопустотная панель | Позиция № 199 | 0,2 | 2500 | 1,92 (2,04*) | 0,84 |
| 2 | Битумная гидроизоляция | Позиция № 218 | 0,01 | 1400 | 0,27 | 1,68 |
| 3 | Пароизоляция | Позиция № 223 | 0,003 | 30 | 0,05 | 2,0 |
| 4 | Плиты минераловатные из каменного волокна | Позиция № 25 | 0,15 | 180 | 0,045 (0,048*) | 0,84 |
| 5 | Цементно-песчаная стяжка | Позиция № 201 | 0,05 | 1800 | 0,76 (0,93*) | 0,84 |
| 6 | Рубероидная гидроизоляция | Позиция № 222 | 0,01 | 600 | 0,17 | 1,68 |
* При условиях эксплуатации Б.
Таблица 2. Основные теплофизические характеристики материалов кровельного покрытия с озеленением (вид № 1 по рис. 1)
| № слоя | Наименование слоя | Ссылка на принятые данные из СП 50.13330.2012 «Тепловая защита зданий» | Принятая толщина слоя, м
|
Плотность материала, кг/м3
|
Теплопроводность материала, Вт/м оС |
Теплоемкость материала, кДж/кг оС |
| 1 | Железобетонная многопустотная панель | Позиция № 199 | 0,2 | 2500 | 1,92 (2,04*) | 0,84 |
| 2 | Битумная гидроизоляция | Позиция № 218 | 0,01 | 1400 | 0,27 | 1,68 |
| 3 | Пароизоляция | Позиция № 223 | 0,003 | 30 | 0,05 | 2,0 |
| 4 | Плиты минераловатные из каменного волокна | Позиция № 25 | 0,05 | 180 | 0,045 (0,048*) | 0,84 |
| 5 | Полиэтиленовая пленка | Позиция № 223 | 0,003 | 30 | 0,05 | 2,0 |
| 6 | Рубероидная гидроизоляция | Позиция № 222 | 0,01 | 600 | 0,17 | 1,68 |
| 7 | Мембрана | Позиция № 222 | 0,005 | 600 | 0,17 | 1,68 |
| 8 | Грунт | По данным В. В. Хлебниковой и других авторов [32] | 0,3 | 1100 | 0,5 | 0,9 |
* При условиях эксплуатации Б.
Таблица 3. Основные теплофизические характеристики материалов кровельного покрытия с озеленением (вид № 2 по рис. 2)
| № слоя | Наименование слоя | Ссылка на принятые данные из СП 50.13330.2012 «Тепловая защита зданий» | Принятая толщина слоя, м
|
Плотность материала, кг/м3
|
Теплопроводность материала, Вт/м оС |
Теплоемкость материала, кДж/кг оС |
| 1 | Железобетонная многопустотная панель | Позиция № 199 | 0,2 | 2500 | 1,92 (2,04*) | 0,84 |
| 2 | Битумная гидроизоляция | Позиция № 218 | 0,01 | 1400 | 0,27 | 1,68 |
| 3 | Пароизоляция | Позиция № 223 | 0,003 | 30 | 0,05 | 2,0 |
| 4 | Плиты минераловатные из каменного волокна | Позиция № 25 | 0,15 | 180 | 0,045 (0,048*) | 0,84 |
| 5 | Полиэтиленовая пленка | Позиция № 223 | 0,003 | 30 | 0,05 | 2,0 |
| 6 | Материал модуля (углепластик) | По данным И. В. Злобина и других авторов [33] | 0,05 | — | 2,0 | — |
| 7 | Рубероидная гидроизоляция | Позиция № 222 | 0,01 | 600 | 0,17 | 1,68 |
| 8 | Мембрана | Позиция № 222 | 0,005 | 600 | 0,17 | 1,68 |
| 9 | Грунт | По данным В. В. Хлебниковой и других авторов [32] | 0,5 | 1100 | 0,5 | 0,9 |
* При условиях эксплуатации Б.
Таблица 4. Основные теплофизические характеристики материалов кровельного покрытия с озеленением (вид № 3 по рис. 3)
| № слоя | Наименование слоя | Ссылка на принятые данные из СП 50.13330.2012 «Тепловая защита зданий» | Принятая толщина слоя, м
|
Плотность материала, кг/м3
|
Теплопроводность материала, Вт/м оС |
Теплоемкость материала, кДж/кг оС |
| 1 | Железобетонная многопустотная панель | Позиция № 199 | 0,2 | 2500 | 1,92 (2,04*) | 0,84 |
| 2 | Битумная гидроизоляция | Позиция № 218 | 0,01 | 1400 | 0,27 | 1,68 |
| 3 | Пароизоляция | Позиция № 223 | 0,003 | 30 | 0,05 | 2,0 |
| 4 | Плиты минераловатные из каменного волокна | Позиция № 25 | 0,15 | 180 | 0,045 (0,048) | 0,84 |
| 5 | Полиэтиленовая пленка | Позиция № 223 | 0,003 | 30 | 0,05 | 2,0 |
| 6 | Рубероидная гидроизоляция | Позиция № 222 | 0,01 | 600 | 0,17 | 1,68 |
| 7 | Мембрана | Позиция № 222 | 0,005 | 600 | 0,17 | 1,68 |
| 8 | Грунт | По данным В. В. Хлебниковой и других авторов [32] | 0,2 | 1100 | 0,5 | 0,9 |
* При условиях эксплуатации Б.
Таблица 5. Основные тепловые включения стандартного кровельного покрытия без озеленения
| Элемент конструкции
|
Удельный гео-
метрический показатель |
Удельные потери
теплоты |
Удельный поток теплоты, обусловленный
элементом |
| Гладь кровельной конструкции без озеленения | a = 1 м2/м2 | U = 0,262 Вт/(м2 оС) | 0,262 Вт/(м2 оС) |
| Стыки в трехслойных железобетонных панелях плит перекрытий | l = 0,583 м / м2 | Ψ = 0,15 (0,3*) Вт/(м оС) | 0,088 Вт/(м2 оС) |
| Вентиляционные шахты (а) и иные инженерные коммуникации (б) | а) n = 0,004 шт/м2
б) n = 0,004 шт/м2 |
а) χ = 0,408 Вт/(м2 оС)
б) χ = 0,05 Вт/(м2 оС) |
а) 0,002 Вт/(м2.оС)
б) 0,0002 Вт/(м2.оС) |
| Откос от двери на крышу | l = 0,022 м/м2 | ψ = 0,04 Вт/ (м оС) | 0,0009 Вт/(м2.оС) |
| Дюбели пластиковые со стальным сердечником для крепления некоторых видов строительных материалов | n = 4,5 шт/м2 | χ = 0,006 Вт/ (м2 оС) | 0,027 Вт/(м2.оС) |
| Кабели от инженерных систем | n = 0,007 шт/м2 | χ = 0,012 Вт/(м2 оС) | 0,00008 Вт/(м2.оС) |
| Итого | 0,380 Вт/(м2.оС) |
* При разрыве утеплителя в местах сопряжения панелей.
Таблица 6. Основные тепловые включения кровельного покрытия с озеленением (вид № 1 по рис. 1)
| Элемент конструкции
|
Удельный гео-
метрический показатель |
Удельные потери
теплоты |
Удельный поток теплоты, обусловленный
элементом |
| Гладь кровельной конструкции с озеленением | a = 1 м2/м2 | U = 0,236 Вт/(м2 оС) | 0,236 Вт/(м2 оС) |
| Стыки в трехслойных железобетонных панелях плит перекрытий | l = 0,583 м / м2 | ψ = 0,15 (0,3*) Вт/(м оС) | 0,088 Вт/(м2.оС) |
| Вентиляционные шахты (а) и иные инженерные коммуникации (б) | а) n = 0,004 шт/м2
б) n = 0,004 шт/м2 |
а) χ = 0,408 Вт/(м2 оС)
б) χ = 0,05 Вт/(м2 оС) |
а) 0,002 Вт/(м2.оС)
б) 0,0002 Вт/(м2.оС) |
| Откос от двери на крышу | l = 0,022 м/м2 | ψ = 0,04 Вт/(м оС) | 0,0009 Вт/(м2.оС) |
| Дюбели пластиковые со стальным сердечником для крепления некоторых видов строительных материалов | n = 4,5 шт/м2 | χ = 0,006 Вт/(м2 оС) | 0,027 Вт/(м2.оС) |
| Кабели от инженерных систем | n = 0,007 шт/м2 | χ = 0,012 Вт/(м2 оС) | 0,00008 Вт/(м2.оС) |
| Итого | 0,354 Вт/(м2.оС) |
* При разрыве утеплителя в местах сопряжения панелей.
При использовании модульных элементов их необходимо относить к однородной конструкции кровельного покрытия. Заполнение межмодульных пространства может быть выполнено с помощью грунта или наружного воздуха (при отсутствии защиты). Поэтому рекомендуется разделять расчет площади кровельного покрытия с озеленением и без него. СП 230.1325800.2015 не располагает данными и информацией для расчета кровельных покрытий с озеленением. В работе принято, что межмодульное пространство заполнено наружным воздухом.
Таблица 7. Основные тепловые включения кровельного покрытия с озеленением (вид № 2 по рис. 2)
| Элемент конструкции
|
Удельный гео-
метрический показатель |
Удельные потери
теплоты |
Удельный поток теплоты, обусловленный
элементом |
| Гладь кровельной конструкции с озеленением | a = 1 м2/м2 | U = 0,206 Вт/(м2 оС) | 0,206 Вт/(м2 оС) |
| Гладь кровельной конструкции без озеленения | a = 1 м2/м2 | U = 0,266 Вт/(м2 оС) | 0,266 Вт/(м2 оС) |
| Стыки в трехслойных железобетонных панелях плит перекрытий | l = 0,583 м / м2 | ψ = 0,15 (0,3*) Вт/(м оС) | 0,088 Вт/(м2.оС) |
| Вентиляционные шахты (а) и иные инженерные коммуникации (б) | а) n = 0,004 шт/м2
б) n = 0,004 шт/м2 |
а) χ = 0,408 Вт/(м2 оС)
б) χ = 0,05 Вт/(м2 оС) |
а) 0,002 Вт/(м2.оС)
б) 0,0002 Вт/(м2.оС) |
| Откос от двери на крышу | l = 0,022 м/м2 | ψ = 0,04 Вт/(м оС) | 0,0009 Вт/(м2.оС) |
| Дюбели пластиковые со стальным сердечником для крепления некоторых видов строительных материалов | n = 4,5 шт/м2 | χ = 0,006 Вт/(м2 оС) | 0,027 Вт/(м2.оС) |
| Кабели от инженерных систем | n = 0,007 шт/м2 | χ = 0,012 Вт/(м2 оС) | 0,00008 Вт/(м2.оС) |
| Итого | 0,206/0,384′ Вт/(м2.оС) |
* При разрыве утеплителя в местах сопряжения панелей; кровельная конструкция без озеленения.
Таблица 8. Основные тепловые включения кровельного покрытия с озеленением (вид № 3 по рис. 3)
| Элемент конструкции
|
Удельный гео-
метрический показатель |
Удельные потери
теплоты |
Удельный поток теплоты, обусловленный
элементом |
| Гладь кровельной конструкции с озеленением | a = 1 м2/м2 | U = 0,248 Вт/(м2 оС) | 0,248 Вт/(м2 оС) |
| Стыки в трехслойных железобетонных панелях плит перекрытий | l = 0,583 м / м2 | ψ = 0,15 (0,3*) Вт/(м оС) | 0,088 Вт/(м2.оС) |
| Вентиляционные шахты (а) и иные инженерные коммуникации (б) | а) n = 0,004 шт/м2
б) n = 0,004 шт/м2 |
а) χ = 0,408 Вт/(м2 оС)
б) χ = 0,05 Вт/(м2 оС) |
а) 0,002 Вт/(м2.оС)
б) 0,0002 Вт/(м2.оС) |
| Откос от двери на крышу | l = 0,022 м/м2 | ψ = 0,04 Вт/(м оС) | 0,0009 Вт/(м2.оС) |
| Дюбели пластиковые со стальным сердечником для крепления некоторых видов строительных материалов | n = 4,5 шт/м2 | χ = 0,006 Вт/(м2 оС) | 0,027 Вт/(м2.оС) |
| Кабели от инженерных систем | n = 0,007 шт/м2 | χ = 0,012 Вт/(м2 оС) | 0,00008 Вт/(м2.оС) |
| Итого | 0,366 Вт/(м2.оС) |
* При разрыве утеплителя в местах сопряжения панелей.
Итоговые тепловые потери при отсутствии солнечной инсоляции и значимые характеристики представлены в табл. 9.
Таблица 9. Результаты сравнения конструкций с различными видами кровельных конструкций с озеленением
| № конструкции | Толщина утеплителя, м | Процент, занятый зеленой кровлей | Толщина грунта, м | Суммарные тепловые потери через кровельные конструкции, Вт |
| Базовая конструкция | 0,15 | 100% | 0 | 8095 |
| Конструкция вида № 1 (по рис. 1) | 0,05 | 100% | 0,3 | 7540 |
| Конструкция вида № 2 (по рис. 2) | 0,15 | 65% | 0,5 (в модуле) и 0 (на остальной части кровли) | 5700 |
| Конструкция вида № 3 (по рис. 3) | 0,15 | 100% | 0,2 | 7790 |
Заключение
Выстроена методика расчета тепловых потерь через типовые кровельные ограждающие конструкции с озеленением согласно требованиям отечественной нормативной базы. При расчете тепловых потерь здания через кровельную конструкцию с озеленением были выявлены недостатки современных нормативных документов в Российской Федерации. Данные конструкции в различном исполнении возможно использовать в южных климатических регионах России. Наиболее эффективным по предварительным проектным оценкам является модульное исполнение кровельной конструкции (вид № 2), которая занимает 65% от всей площади кровли здания при толщине грунта в модуле 0,5 метра. Для дополнительного снижения тепловых потерь модули необходимо установить над стыками железобетонных панелей. Суммарные тепловые потери через сплошную кровельную конструкцию (вид № 1) при толщине слоя грунта 0,3 метра составили 7540 Вт. Необходимо отметить, что слой утеплителя при этом равен 0,05 метра. При устройстве сплошной встраиваемой кровельной конструкции с озеленением в виде дополнительного покрытия (вид № 3) способно снизить тепловые потери через ограждающую конструкцию. При толщине дополнительного слоя 0,2 метра суммарные тепловые потери составили 7790 Вт.
Литература
- Liu K. Engineering performance of rooftop gardens through field evaluation, in: RCI 18th International Convention and Trade Show (Tampa, Florida, 3/13/2003). Pp. 1–15.
- Oberndorfer E., Lundholm J., Bass B., Coffman R.R., Doshi H., Dunnett N., Gaffin S., Köhler M., Liu K.K.Y., Rowe B. Green roofs as urban ecosystems: Ecological structures, functions, and services // BioScience. 2007. No Pp. 823–833.
- Korol E., Shushunova N., Nikitina M., Shushunova T. Modular greening technologies for buildings // E3S Web of Conferences. 2021. No P. 04031.
- Korol E., Shushunova N. Innovative modular greening system for modern buildings // IOP Conference Series: Materials Science and Engineering. 2021. No 1030(1). P. 012062.
- Eng P., Gerwing D. H. GHG reduction and economics of scaleable concentrating solar co-generation systems // EIC Climate Change Conference. 2006. Vol. 1 and 2. IEEE Ottawa. CANADA. Pp. 567–
- Chester M. V., Nahlik M. J., Fraser A. M., Kimball M. A., Garikapati V. M. Integrating life-cycle environmental and economic assessment with transportation and land use planning // Environmental science & technology. 2013. No47(21). 12020–12028.
- Досмухамедов Н. К., Каплан В. А., Жолдасбай Е. Е., Досмухамедов Д. Н., Любомирский И. Разработка способа очистки отходящих газов тепловых угольных электростанций от серы // Уголь. 2015. № 8(1073). С. 106–113.
- Korol E. A., Kiselev I. Ya., Shushunova N. S. Reconstruction of enterprises of textile industry with use of green roof covering systems // Proceedings of higher education institutions. Textile industry technology. 2018. No 3 (375). Pp. 294–
- Yang, J., Rong, H., Kang, Y., Zhang, F., & Chegut, A. 2021. The financial impact of street-level greenery on New York commercial buildings // Landscape and Urban Planning. No P. 104162.
- Sheryazov S. K., Popova S. A. Light and Temperature Control for Greenhouse Plant Growth // Inzhenerernyye tekhnologii i sistemy [Engineering Technologies and Systems]. 2021. No 31(1). Pp. 8– DOI: https://doi.org/10.15507/2658-4123.031.202101.008-020.
- Olle M., Viršile A. (2013). The effects of light-emitting diode lighting on greenhouse plant growth and quality // Agricultural and food science. No 22(2)/ 223–234.
- Went F. W. Plant Growth Under Controlled Conditions. I. The Air-Conditioned Greenhouses at the California Institute of Technology. American Journal of Botany. 1943. No 30(2). Pp. 157–163. https://doi.org/10.2307/2437258.
- Бодров В. И., Бодров М. В. Термодинамические процессы в воздушном объеме теплиц в теплый период года // Вестник Томского государственного архитектурно-строительного университета. 2010. № 2(27). С. 169–
- Рымаров А. Г., Савичев В. В. «Зимний сад» и регенеративная система вентиляции // Сантехника, Отопление, Кондиционирование. 2013. № 6(138). С. 64–65.
- Chang N. B., Rivera B. J., Wanielista M. P. Optimal design for water conservation and energy savings using green roofs in a green building under mixed uncertainties // Journal of Cleaner Production. 2011. No 19(11). Pp. 1180–1188.
- Рымаров А. Г., Смирнов В. В., Савичев В. В., Титков Д. Г. Висячие сады Семирамиды — это древний кондиционер? // Промышленное и гражданское строительство. 2014. № 6. С. 75–
- Jim C. Y., Tsang S. W. Biophysical properties and thermal performance of an intensive green roof // Building and Environment. 2011. No 46(6). Pp. 1263–1274.
- Kats V., Volkov A. Optimization of the features extraction method in cyber physical systems of monitoring energy infrastructure facilities // E3S Web of Conferences. No 152. P. 02002. DOI 10.1051/e3sconf/202015202002.
- Ginzburg A. Sustainable Building Life Cycle Design // MATEC Web of Conferences 2016. No 73. P. 02018. DOI 10.1051/matecconf/20167302018.
- Tabunshchikov, Yu. A., Brodach M. M. Optimization Problems of Mathematical Modeling of a Building as a Unified Heat and Power System // International Journal for Computational Civil and Structural Engineering. 2020. Vol. 16. No 1. Pp. 156–161. DOI 10.22337/2587-9618-2020-16-1-156-161.
- Telichenko V., Benuzh A., Eames G. [et al.] Development of Green Standards for Construction in Russia // Procedia Engineering. Vol. 153. Pp. 726–730. DOI 10.1016/j.proeng.2016.08.233.
- Korol E., Shushunova N. Green roofs: standardization and quality control of processes in green construction // MATEC Web of Conferences. 2017. No 106. P. 06014.
- Куликова Е. Н., Чукин Е. А., Тагиров Т. А, Тускаева З. Р. Зеленое строительство: сегодня и завтра // Инновации и инвестиции. 2021. № 2. С. 175–
- Saiz S., Kennedy C., Bass B., Pressnail K. Comparative life cycle assessment of standard and green roofs. Environmental Science and Technology. 2006. No 40 (13):4312-6. DOI 10.1021/es0517522.
- Баранова Т. Н., Разаков М. А. Применение энергосберегающих мероприятий в жилых малоэтажных домах с длительным периодом эксплуатации // Сантехника, Отопление, Кондиционирование. 2018. № 12(204). С. 84–
- Santamouris M., Pavlou C., Doukas P., Mihalakakou G., Synnefa A., Hatzibiros A., Patargias P. Investigating and analysing the energy and environmental performance of an experimental green roof system installed in a nursery school building in Athens, Greece // Energy. 2007. №. 9 (32). Pp. 1781–1788.
- Справочник проектировщика // Под ред. Н. Н. Павлова, Ю. И. Шиллера. М.: Стройиздат, 1992 (1975 и 1991). 416 с.
- Korkina E. V., Shmarov I. A. Analytical method of calculation of the diffuse solar radiation received on a vertical surface with partially obstructed sky // News of higher educational institutions. Technology of the textile industry. 2018. No 375 (3). Pp. 230–236.
- Samarin O. D. Thermal mode of a room with integrated regulation of cooling systems // Magazine of Civil Engineering. 2021. No 3(103). P. 10312. DOI 10.34910/MCE.103.12.
- Malyavina E. G., Lomakin A. G. Calculating the load on the room cooling ceiling panel at solar heat gains // Journal of Physics: Conference Series. 2020. No 1614. P. 012063. DOI 10.1088/1742-6596/1614/1/012063.
- Титков Д. Г. Натурные исследования теплового режима подземного коллектора для инженерных коммуникаций // Приволжский научный журнал. 2020. № 1(53). С. 100–107.
- Хлебникова В. В., Макарычев С. В., Шишкин А. В. Тепловые и общефизические свойства черноземов под насаждениями декоративных культур в дендрарии // Вестник Алтайского государственного аграрного университета. 2020. № 3(185). С. 69–
- Злобина И. В., Бекренев Н. В., Павлов С. В. Исследование теплофизических характеристик стекло-, углепластиков и материалов, сформированных на основе аддитивных технологий по технологиям 3DP и FDM // Вектор науки Тольяттинского государственного университета. 2018. № 2(44). С. 26– DOI 10.18323/2073-5073-2018-2-26-33.
Скачать PDF-версию статьи «Проектирование кровельных конструкций с озеленением для тепловой защиты»






